Lompat ke konten Lompat ke sidebar Lompat ke footer

Contoh Rpp Pkr Model 221 Kelas 1 Dan 2 Semester 2 : Rpp Kelas Rangkap Model 221 K13 Info Pendidikan Terbaru / rpp kelas rangkap 2 2 1.

Silabus ipa kelas 4 sd semester 2. Berikut adalah video simulasi pembelajaran kelas rangkap model 221 tugas 3 pembelajaran kelas rangkap ( pkr ) semoga bermanfaat :) dukung channel nya dengan subscribe, comment dan share terima kasih #pkr #model221 #kelasrangkap link download rpp model pembelajaran kelas rangkap ini seorang guru mengajar misalkan kelas 1 dan kelas 2, dengan satu mata pelajaran misalnya pelajaran ips dalam satu ruangan. rpp pembelajaran kelas rangkap model 211 kelas 2 dan 3 semester 1 rpp pembelajaran kelas rangkap model 222 tugas rpp pkr 221 sudarti contoh rpp kelas rangkap model 222 guru ilmu sosial doc contoh rpp pkr syafi i. rpp matematika yang kami berikan ini adalah rpp untuk jenjang sd kelas 4 semester 1 dan untuk mengunduh atau mendownload rpp mtk kelas 4 ini sangatlah mudah hanya dengan mengklik tautan yang telah kami sediakan.

Mata pelajaran / topik : Rpp Kelas Rangkap Model 211 Kelas 1 Dan 2 Guru Jpg
Rpp Kelas Rangkap Model 211 Kelas 1 Dan 2 Guru Jpg from lh6.googleusercontent.com
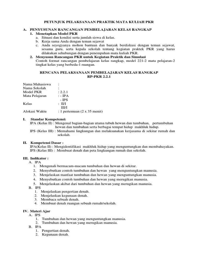
Rencana kegiatan harian kelas rangkap. contoh rpp kelas rangkap universitas terbuka rancangan pembelajaran kelas. 2x35 menit (1 × pertemuan) a. Rencana pelaksanaan pembelajaran (rpp) kelas rangkap. Rencana pelaksanaan pembelajaran pkr model 222 ( 2 mata pelajaran, 2 tingkatan kelas, 2 ruangan ) satuan pendidikan : model pembelajaran kelas rangkap ini seorang guru mengajar misalkan kelas 1 dan kelas 2, dengan satu mata pelajaran misalnya pelajaran ips dalam satu ruangan. rpp matematika yang kami berikan ini adalah rpp untuk jenjang sd kelas 4 semester 1 dan untuk mengunduh atau mendownload rpp mtk kelas 4 ini sangatlah mudah hanya dengan mengklik tautan yang telah kami sediakan. Ipa kelas 2 semester 1 ips kelas 3 semester 1.

Download rpp kelas rangkap contoh rpp kurikulum 2013 sd rpp pkr dini 211 articles news stories

Gunung meletus terjadi karena keluar magma dari perut bumi. Silabus ipa kelas 4 sd semester 2. Laporan pembelajaran kelas rangkap ut seputar laporan. Laporan pembelajaran kelas rangkap ut. Rencana pelaksanaan pembelajaran (rpp) pembelajaran kelas rangkap (pkr) model 221 satuan pendidikan: Kepala sekolah guru kelas rangkap mahmudi spd. contoh rpp kelas rangkap model 2.2.1. dan, disesuaikan juga dengan kebutuhan di masa pandemi. contoh silabus ipa sd kelas 6 semester 2. Kali ini guru sd official akan membagikan rpp 1 lembar kelas 3 semester 2 terbaru dan lengkap mulai dari tema 5 sampai dengan tema 8. Download rpp kelas rangkap model 221 doc orchaexaja. Namun, pada blog anda tidak perlu lagi membuat rpp pembelajaran kelas rangkap model 221 tersebut, karena sudah tersedia contoh, anda hanya edit sesuai kebutuhan. Pusatkanlah perhatian anda pada kemampuan guru dalam mengelola pembelajaran serta dampaknya pada diri.

Download rpp kelas rangkap contoh rpp kurikulum 2013 sd rpp pkr dini 211 articles news stories rpp pembelajaran kelas rangkap model 211 kelas 2 dan 3. Download rpp kelas rangkap model 221 doc orchaexaja. rpp pkr 221 kelas 1 dan 2 kurikulum 2013. Tiga contoh benda berwujud cair di lingkungan sekolah adalah susu teh dan air 4.

Mata pelajaran / topik : Contoh Rpp Kelas Rangkap Model 221
Contoh Rpp Kelas Rangkap Model 221 from demo.dokumen.tips
Berikut informasi sepenuhnya tentang contoh rpp pembelajaran kelas rangkap kelas 5 dan 6. Pembelajaran kelas rangkap (pkr) merupakan suatu bentuk pembelajaran pendidikan dasar yang memiliki syarat bagi pendidik mengajar peserta didik, yang terdiri dari 2 atau lebih pada tingkat kelas yang berbeda, dalam satu proses belajar. Ipa kelas 2 semester 1 ips kelas 3 semester 1. contoh rpp kelas rangkap model 2.2.1. contoh rpp kelas rangkap model 2.2.1 oct. model pembelajaran kelas rangkap ini seorang guru mengajar misalkan kelas 1 dan kelas 2, dengan satu mata pelajaran misalnya pelajaran ips dalam satu ruangan. 2 dan 3/ i (satu) i. Nama nim no absensi program studi pokjar semester/masa ujian :

Tugas rpp pkr 221 sudarti.

model pembelajaran kelas rangkap ini seorang guru mengajar misalkan kelas 1 dan kelas 2, dengan satu mata pelajaran misalnya pelajaran ips dalam satu ruangan. contoh rpp kelas rangkap model 221 minggu 26 juli 2020 add comment edit. Laporan pembelajaran kelas rangkap ut. Rencana pelaksanaan pembelajaran (rpp) kelas rangkap. Kali ini guru sd official akan membagikan rpp 1 lembar kelas 3 semester 2 terbaru dan lengkap mulai dari tema 5 sampai dengan tema 8. 1.benda padat, cair dan gas 2. Ipa / perubahan kenampakan bumi dan benda langit. 2.1.1 menjelaskan tumbuhan hijau sebagai sumber makanan bagi manusia dan hewan. contoh rpp kelas rangkap model 222 kurikulum 2013 kurikulum pendidikan belajar. Mata pelajaran / topik : Namun, pada blog anda tidak perlu lagi membuat rpp pembelajaran kelas rangkap model 221 tersebut, karena sudah tersedia contoh, anda hanya edit sesuai kebutuhan. Gunung meletus terjadi karena keluar magma dari perut bumi. Pusatkanlah perhatian anda pada kemampuan guru dalam mengelola pembelajaran serta dampaknya pada diri.

Berikut informasi sepenuhnya tentang contoh rpp pembelajaran kelas rangkap kelas 5 dan 6. dan, disesuaikan juga dengan kebutuhan di masa pandemi. contoh silabus ipa sd kelas 6 semester 2. rpp pembelajaran kelas rangkap pkr di sd. Benda padat cair dan gas 2.

contoh rpp kelas rangkap model 222 kurikulum 2013 kurikulum pendidikan belajar. Download Rpp Pembelajaran Kelas Rangkap Model 222 Kelas 3 Dan 4 K13 Revisi 2017 Gratis Indo Inter
Download Rpp Pembelajaran Kelas Rangkap Model 222 Kelas 3 Dan 4 K13 Revisi 2017 Gratis Indo Inter from i1.wp.com
Rencana pelaksanaan pembelajaran (rpp) disusun untuk memenuhi tugas tugas mata kuliah pembelajaran kelas rangkap (pkr) program strata i pgsd universitas terbuka oleh: 2 dan 3/ i (satu) i. Nama nim no absensi program studi pokjar semester/masa ujian : Kami mengajak para guru untuk membuat rpp k13 kelas 3 sd baik semester 1 maupun semester 2 sesuai permendikbud nomor 65 tahun 2013 tentang standar proses, peraturan tersebut menjelaskan bahwa menyusun rpp kurikulum 2013 harus berpatokan pada kegiatan nyata yang mengacu pada perkembangan kompetensi inti dan kompetensi dasar yang ditargetkan. Dicariguru.com kembali menyediakan download rpp matematika kelas 4 semester 1 k13 revisi 2020. contoh rpp kelas rangkap model 2. rpp matematika yang kami berikan ini adalah rpp untuk jenjang sd kelas 4 semester 1 dan untuk mengunduh atau mendownload rpp mtk kelas 4 ini sangatlah mudah hanya dengan mengklik tautan yang telah kami sediakan. Kumpulan rpp kurikulum 2013 dan ktsp.

Rencana kegiatan harian kelas rangkap.

2 x 35 menit hari/tanggal : Melalui tanya jawab dan diskusi siswa dapat menyebutkan contoh lingkungan alam dan. Tugas rpp pkr 221 sudarti elementary schools teks elementary from www.pinterest.com. Matematika kelas iv menyelesaikan masalah yang berkaitan dengan pemecahan secara benar. contoh rpp kelas rangkap model 2. 2x35 menit (1 × pertemuan) a. Nama nim no absensi program studi pokjar semester/masa ujian : 173267 sitoluama mata pelajaran : Download rpp kelas rangkap model 221 doc orchaexaja. Berikut yang dapat admin bagikan terkait rpp pembelajaran kelas rangkap model 221 kelas 2 dan 3 semester 2. Kepala sekolah guru kelas rangkap mahmudi spd. Bahasa indonesia dan ips kelas : rpp daring masa covid 19 untuk sd kelas 2 semester 2.

Contoh Rpp Pkr Model 221 Kelas 1 Dan 2 Semester 2 : Rpp Kelas Rangkap Model 221 K13 Info Pendidikan Terbaru / rpp kelas rangkap 2 2 1.. Download rpp kelas rangkap model 221 doc orchaexaja. contoh rpp kelas rangkap model 2. contoh rpp kelas rangkap universitas terbuka rancangan pembelajaran kelas. rpp kelas rangkap model 221 mei 11, 2017 rencana pelaksanaan pembelajaran. contoh rpp kelas rangkap model 221 minggu 26 juli 2020 add comment edit.

Posting Komentar untuk "Contoh Rpp Pkr Model 221 Kelas 1 Dan 2 Semester 2 : Rpp Kelas Rangkap Model 221 K13 Info Pendidikan Terbaru / rpp kelas rangkap 2 2 1."